複素数を視覚的・直感的に理解するために欠かせない複素平面を導入する.
複素平面
写像$f:\mathbb{R}^2\to \mathbb{C}$を
\[ f(a,b)=a+bi\quad (a,b\in \mathbb{R})\]
により定めると,$f$は全単射である.よって,この逆写像$f^{-1}$によって,複素数を平面$\mathbb{R}^2$の点として,1対1に対応付けすることができる.
平面上に,横軸として複素数の実部を表す実軸(real axis)をとり,それに直交する縦軸として,複素数の虚部を表す虚軸(imaginary axis)をとると,任意の複素数を平面上の1点に対応付けることができる.

この平面を複素平面(または複素数平面)(complex plane)(またはガウス平面(Gaussian plane),$z$-平面($z$-plane))という.
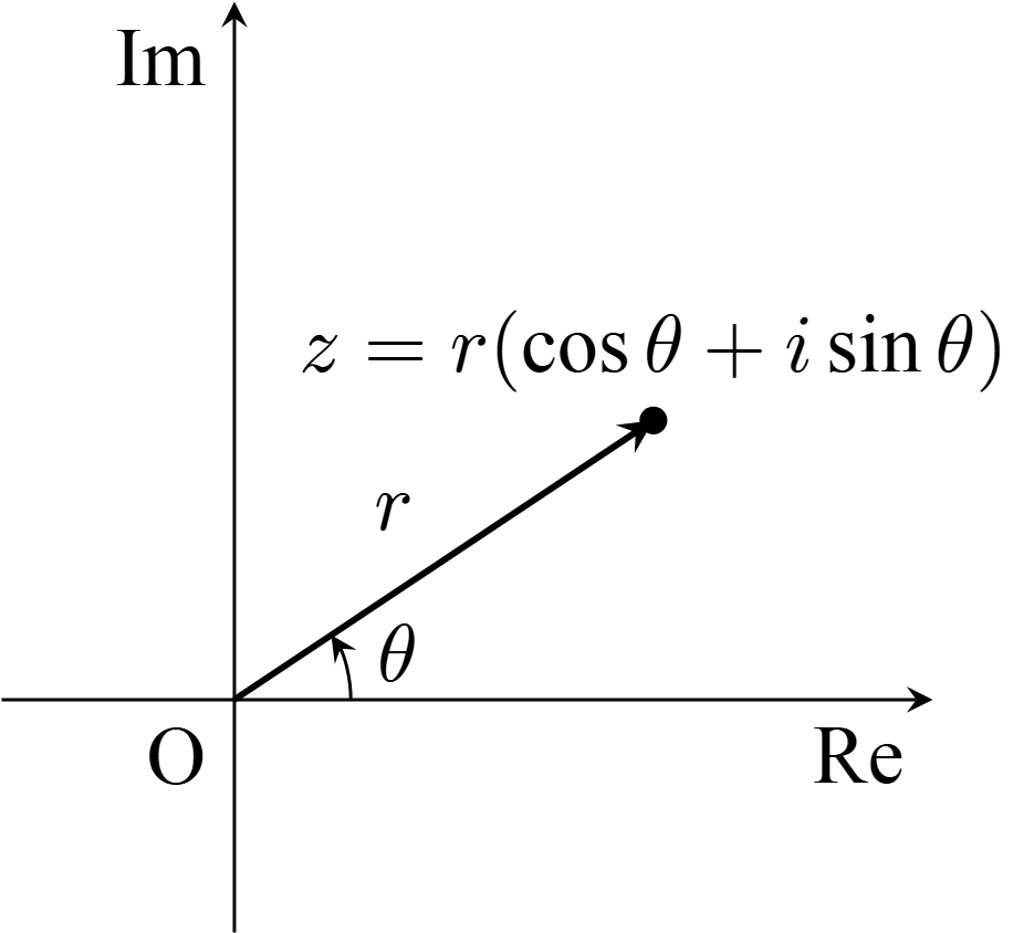
ところで,複素平面上の1点$z$は,原点からの距離$r$と,原点と$z$を結ぶ線分($z$の動径)と実軸の正の部分がなす角$\theta$(弧度法を用いる)を用いて表すことができる.
このとき,$r=|z|$であり,$\theta$は$z$の偏角(argument)といい,$\arg z$で表す1.
すなわち,任意の複素数は絶対値と偏角を用いて表すことができ,以下の図

から
\[ z=r(\cos \theta +i\sin \theta )\]
となることが分かる.これを$z$の極形式(polar form)という.
複素数の極形式は,複素数の諸性質を直感的に理解するのに欠かせない.
複素数の加法と複素平面
以下,$z=a+bi\in \mathbb{C}$に対して,$\overrightarrow{z}=(a,b)\in \mathbb{R}^2$をベクトルとする.
$z=a+bi,w=c+di\in \mathbb{C}$に対して
\[ z+w=(a+c)+(b+d)i\]
であった.これは複素平面上で,ベクトルの和として理解することができる.

上図から
\[ \overrightarrow{z+w}=\overrightarrow{z}+\overrightarrow{w}\]
であることが分かる.
一方
\[ z-w=(a-c)+(b-d)i\]
は$z+(-w)$と考えることで,先程と同様にベクトルの和として理解することができる.
複素数の乗法と複素平面
$z=r_1(\cos \theta _1+i\sin \theta _1),w=r_2(\cos \theta _2+i\sin \theta _2)\in \mathbb{C}$に対して
\[ \begin{aligned}zw&=r_1r_2(\cos \theta _1+i\sin \theta _1)(\cos \theta _2+i\sin \theta _2)\\ &=r_1r_2((\cos \theta _1\cos \theta _2-\sin \theta _1\sin \theta _2)\\ &\quad +i(\sin \theta _1+\cos \theta _2+\cos \theta _1\sin \theta _2))\\ &=r_1r_2(\cos (\theta _1+\theta _2)+i\sin (\theta _1+\theta _2))\end{aligned}\]
であるから,$zw$は
\[ |zw|=|z||w|\\ \arg zw=\arg z+\arg w\]
を満たすことが分かる.

このように解釈すると,$z$は原点を中心とする$r_1$倍の拡大と角$\theta_1$の回転を表す複素数であると言える.
一方,$w\neq 0$であるとき
\[ \begin{aligned}\frac{1}{w}&=\frac{1}{r_2(\cos \theta _2+i\sin \theta _2)}\\ &=\frac{\cos \theta _2-i\sin \theta _2}{r_2(\cos \theta _2+i\sin \theta _2)(\cos \theta _2-i\sin \theta _2)}\\ &=\frac{\cos (-\theta _2)+i\sin (-\theta _2)}{r_2(\cos ^2\theta _2+\sin ^2\theta _2)}\\ &=\frac{1}{r_2}(\cos (-\theta _2)+i\sin (-\theta _2))\end{aligned}\]
であるから,$z$と$\dfrac{1}{w}$の積と考えることで
\[ \frac{z}{w}=\frac{r_1}{r_2}(\cos (\theta _1-\theta _2)+i\sin (\theta _1-\theta _2))\]
を得る.
共役複素数と複素平面
$z=a+bi=r(\cos \theta +i\sin \theta )\in \mathbb{C}$に対して
\[ \begin{aligned}\overline{z}&=a-bi=r(\cos \theta -i\sin \theta )\\ &=r(\cos (-\theta )+i\sin (-\theta ))\end{aligned}\]
は複素平面上で,実軸に関する対称移動として理解することができる.

これを踏まえると,共役複素数についての諸性質を直感的に理解することができる.
- $\arg$は$\mathbb{C}$から$\mathbb{R}$への多価関数(multivalued function)である.すなわち,$\arg z$の値は一意に定まらない.
そこで,$\arg$の像$\mathbb{R}$を$[0,2\pi )$や$(-\pi ,\pi]$に制限し,偏角を一意に定めることがある. ↩︎
